快速射电暴(Fast Radio Burst, 简称FRB)是宇宙中一类持续时间为毫秒量级的超亮射电脉冲信号,其起源和产生机制是当今天文学的谜题之一。2007年天文学家首次在脉冲星巡天数据中发现FRB后,FRB的研究迅速成为天文学前沿热点之一,2023年度邵逸夫天文学奖近期被授予FRB的发现者。2020年4月28日,加拿CHIME射电望远镜和美国STARE-2探测器探测到来自银河系内一颗名为SGR J1935+2154磁陀星的射电爆发FRB 200428。同时,我国的慧眼(HXMT)卫星、欧洲的INTEGRAL卫星、俄罗斯的KONUS-WIND探测器和意大利AGILE卫星探测到了与FRB 200428成协的X射线爆发现象(简称 FRB 200428-X)。这是人类首次明确磁陀星可以产生FRB,证实FRB在瞬时辐射阶段存在X射线波段的对应体。关于FRB 200428的研究成果被英国《自然》杂志评为2020年十大科学发现之一,并被美国《科学》杂志列入2020年十大科学突破,被认为是理解快速射电暴本质的重要里程碑。
近日,中心乔宾教授团队和中国科学院紫金山天文台吴雪峰教授团队合作,首次揭示了FRB 200428-X可能起源于磁陀星附近的量子电动力学(QED)极端条件下磁重联爆发过程。从第一性原理出发,通过对磁陀星磁层QED重联和多重逆康普顿散射的跨尺度物理过程自洽集成模拟,合作团队成功解释了慧眼卫星团队观测到的非热硬X辐射FRB 200428-X的能谱、光变曲线等天文观测数据主要特征,首次给出了完整的FRB 200428-X起源模型。相关研究论文以封面文章发表于Science Bulletin2023年第17期。
磁重联是天文中最基本的磁能耗散过程。在这一过程中,磁场拓扑结构迅速发生重新排列,磁场能量被快速释放转化为粒子的动能与内能。磁陀星是表面磁场强度为地球磁场强度百万亿倍以上的中子星,在活跃期间会出现剧烈的X射线暴发。因为磁陀星附近磁场强度极大,所以对在其附近发生的重联过程需要考虑QED效应,包括辐射阻尼、正负电子对的产生和真空极化等。基于此背景,合作团队为 FRB 200428-X 射线暴发的起源提出了一个完整模型,主要包括两个阶段:第一阶段,高能粒子在磁陀星磁层内的通过无力片 QED 磁重联加速到高能,如图1所示的红线和绿色粒子点;第二阶段,高能粒子与从磁陀星光球层 (棕色圆盘) 发射的软 X 射线光子 (棕色螺旋箭头) 发生多次逆康普顿散射过程,产生硬 X射线 光子,最终被观测接收到。

图1:FRB 200428-X的QED磁重联起源模型示意图
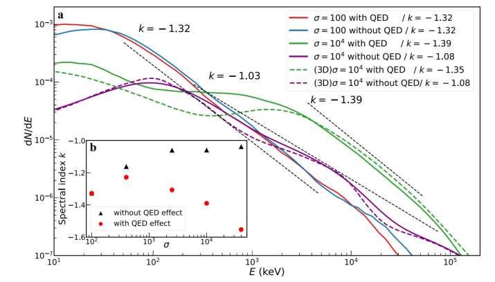
针对两个阶段的集成跨尺度数值模拟中,合作团队首先通过动理学粒子模拟QED磁重联过程,揭示了QED效应对磁重联加速产生的粒子能谱幂率谱谱指数和截止能量的显著影响;并通过调控磁重联磁化参量(定义为磁能密度和物质焓密度的比值),获得QED磁重联加速过程产生的高能粒子(正负电子)能谱(如图2)。接下来,合作团队将逆康普顿散射蒙特卡罗计算模块自洽耦合入粒子模拟程序,将模拟尺度从微观动理学扩展到宏观天文学尺度,并将第一阶段磁重联加速得到的高能粒子和从磁陀星光球层发射的背景软 X 射线光子注入模拟空间,考虑共振散射效应,开展多次逆康普顿散射过程的大尺度模拟,最终获得经过多次散射后的硬X射线谱,与HXMT观测能谱相比对,限定了FRB 200428-X爆发区域的磁化参数区间(如图3)。数值模拟清晰地展示了强磁场环境下QED效应对磁重联微观粒子加速过程和宏观天文观测结果的显著影响,为研究极端环境下天文观测数据提供了新的思路。

图2:由磁重联驱动加速的电子能谱及其对应的幂律指数随不同磁化参数的变化

图3:针对不同磁重联加速电子能谱,多重逆康普顿散射过程获得的硬X射线光子能谱和光变曲线(对比观测数据)
北京大学物理学院博士生谢雨、中国科学院紫金山天文台副研究员耿金军为共同第一作者。北京大学物理学院乔宾教授、中国科学院紫金山天文台吴雪峰研究员为共同通讯作者。该研究工作得到国家重点研发计划、国家自然科学基金委重点基金、杰出青年基金、中国科学院战略重点研究计划、挑战计划、中国科学院青年创新促进会的大力支持。
论文原文链接:https://www.sciencedirect.com/science/article/pii/S2095927323003754