和自由空间中的外尔费米子不同,凝聚态体系中的外尔费米子不受洛伦兹不变性的限制,从而可以产生许多自由空间中的外尔费米子完全不具备的新奇效应,包括可以用来模拟黑洞和弯曲时空。打破洛伦兹不变性,可以简单地通过倾斜外尔锥来实现,而这样的倾斜在实际材料中广泛存在。虽然已经有大量理论预言倾斜外尔锥导致的各种不同寻常的光、电、热性质,但是相关的实验研究还非常少。
纳光电子前沿科学中心吴孝松研究员课题组之前在拓扑外尔半金属Co3Sn2S2中发现了一种和外尔锥倾斜相关的新奇磁阻和霍尔效应(Physical Review Letters126, 236601 (2021))。近期,吴孝松研究员课题组与中国科学院物理研究所刘恩克研究员课题组、南方科技大学卢海舟教授课题组合作,对具有倾斜外尔锥的磁性外尔半金属Co3Sn2S2进行了热电输运效应的实验及理论研究。实验上通过对Co3Sn2S2样品塞贝克信号的测量,发现了一种关于面内磁场反对称的塞贝克信号,同时该信号也关于面外磁化反对称,而相似的信号也出现在能斯特效应中。理论分析证实这一信号来源于贝里曲率与轨道磁矩的共同作用,数值计算与实验结果相一致。此项工作在磁性外尔半金属中观测到这一特殊的热电效应,揭示了该效应中轨道磁化的重要影响,为深入理解拓扑物理提供了一种研究手段。

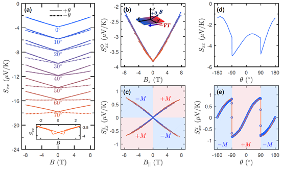
图(a)磁场偏离z轴时出现关于面内磁场反对称的塞贝克信号;(b)不同角度下的正常塞贝克信号;(c)不同角度下关于面内磁场反对称的塞贝克信号,磁化翻转时该信号也反号;(d)固定磁场在yz面旋转时塞贝克信号的角度依赖;(e)通过反对称得到的关于面内磁场反对称的塞贝克信号
2022年7月28日,相关工作以“倾斜外尔半金属中反对称的塞贝克效应”(Antisymmetric Seebeck effect in a tilted Weyl semimetal)为题,在线发表于《物理评论快报》(Physical Review Letters)。北京大学物理学院2017级博士研究生江丙炎为论文第一作者;吴孝松、刘恩克、卢海舟为共同通讯作者。
上述研究工作得到国家重点研发计划、国家自然科学基金以及中国科学院重点研究计划等支持。
论文原文链接:https://journals.aps.org/prl/abstract/10.1103/PhysRevLett.129.056601